2変数関数のグラディエント・ヤコビアン・ヘッシアン  

 ・定義:2変数関数の勾配ベクトル/ヤコビ行列・ヤコビアン・ヤコビ行列式・関数行列式
 ・定義:ヘッセ行列・ヘッシアン・ヘッセ行列式/ラプラスの演算子・ラプラシアン

 関連ページ
 ・グラディエント・ヤコビアン・ヘッシアン:n変数関数のケース/ベクトル値関数のケース
 ・2変数関数の微分定義:偏微分/高階偏微分/方向微分/全微分/高階全微分 
 ・2変数関数微分の応用:合成関数の微分/平均値定理・テイラーの定理/極値問題
              陰関数定理/逆関数定理/ラグランジュ未定乗数法
 ・2変数関数の概念:2変数関数の諸属性/極限/連続/極限の性質/矩形上の積分/点集合上の積分 
 →文献総目次 


定義:勾配ベクトル・gradient vector  記法:∇f, grad ( f )


定義


2変数関数f ( x, y )勾配ベクトルgrad f ( x, y ), ∇f ( x, y )とは、
 f (x,y )x, yそれぞれに関する偏導関数を並べたベクトル
すなわち、

[文献]
・小形『多変数の微分積分』pp. 53-55

・黒田『微分積分学』8.3.3 (p.288).
・Lang,Undergraduate Analysis,15-§2(p.322);
・de la Fuente, Mathematical Methods and Models for Economists, PartI-4-2 (pp.166) :n変数関数.


n変数関数の勾配ベクトル

 

f (x,y )(x0,y0)で(全)微分可能ならば
f (x,y )(x0,y0)における微分係数は、
(x0,y0)における勾配ベクトル
   grad f (x0,y0)=f (x0,y0)/∂x ,f (x0,y0)/∂y
に等しくなる。
[→定理]

f (x,y )(x0,y0)(全)微分可能ならば
f (x,y )(x0,y0)における方向微分係数は、
  (x0,y0)における勾配ベクトルgrad f (x0,y0)=f (x0,y0)/∂x ,f (x0,y0)/∂y
から計算可能。
[→公式]

活用例:極値ラグランジュの未定乗数法


→[トピック一覧:微分演算子]
総目次

 

定義:ヤコビ行列Jacobian Matrix・ヤコビアン(ヤコビ行列式・関数行列式functional determinant


定義


2変数関数f1(x,y), f2(x, y)の勾配ベクトルgrad f1=∇f1grad f2=∇f2を、
 縦に並べた以下の行列をヤコビ行列と呼ぶ。  
    

[文献]
・小平『解析入門II』363;
・小形『多変数の微分積分』86-110;
・吹田新保『理工系の微分積分学』204;
・笠原『微分積分学』7.3節 (pp.266-270)
・杉浦『解析演習』U章§2-2.3(p. 89) :n変数実関数

定義

ヤコビ行列のの行列式  
  
   
 を、関数行列式ないしはヤコビアンと呼び、簡略化して表す場合には、
 記号J(x,y)
   
 などを用いる。



n変数関数のヤコビ行列

活用例: 積分の変数変換逆関数の定理


→[トピック一覧:微分演算子]
総目次

 

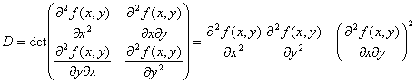
定義:ヘッセ行列・ヘッシアンHessian(ヘッセ行列式)


定義


・「2変数関数f ( x, y )ヘッセ行列」とは、
 2変数関数f ( x, y )のすべての第二次偏導関数を、
 次のように並べた2×2行列のこと。
      

[文献]
小平『解析入門II』363;
小形『多変数の微分積分』86-110;
吹田新保『理工系の微分積分学』204;
笠原『微分積分学』7.3節 (pp.266-270)


n変数関数のヘッセ行列


 

  この行列式  
  
 を、ヘッシアンと呼ぶ。


・「点(x0,y0)における2変数関数f ( x, y )ヘッセ行列」とは、
  f ( x, y )のすべての第二次偏導関数が、点(x0,y0)でとる値を、次のように並べた2×2行列のこと。
   

活用例:極値 


→[トピック一覧:微分演算子]
総目次


定義:ラプラスの演算子(ラプラシアンLaplacian)記法:Δf  


定義


 2変数関数f ( x, y )x, yそれぞれに関する第二次偏導関数の和。
    

 
   
   


→[トピック一覧:微分演算子]
総目次

 

定義:発散(divergence) 記法:divA


定義



[文献]
小形『多変数の微分積分165-170:div;

 

→ガウスの定理

   


→[トピック一覧:微分演算子]
総目次

 

定義:ローテーション(rotation) 記法:rotA


定義



[文献]

 

→ストークスの定理

   


→[トピック一覧:微分演算子]
総目次

(reference)

小形正男『理工系数学のキーポイント7:多変数の微分積分』岩波書店、1996、pp. 53-55:gradient;86-110:Jacobian;78:Hessian;.33:Laplacian.165-170:div;177-181:rot 1.
笠原皓司『微分積分学』サイエンス社、1974年、5.3節(pp.164-5)7.3節 (pp.266-270)。
神谷和也・浦井憲『経済学のための数学入門』東京大学出版会、1996年、p.227-

.
吹田・新保『理工系の微分積分学』学術図書出版社、1987年。pp.174-5:grad.;204:ヤコビアン;.227-30:∇・ラプラシアン
高橋一『経済学とファイナンスのための数学』新世社、1999年、p.148。
高橋陽一郎『岩波講座現代数学への入門:微分と積分2』 岩波書店、1995年、pp.85-86。ヘッセ行列と極値。
小平邦彦『解析入門II』 (軽装版)岩波書店、2003年、p.363.。ヤコビ行列のみ。
和達三樹『理工系の数学入門コース1・微分積分』岩波書店、1988年、pp.135ラプラシアン;pp.ヤコビアン152-53.
杉浦光夫『解析入門』岩波書店、1980年、pp.124-126 grad;. 132-135.ヤコビアン ただし、いきなり多次元。
高木貞治『解析概論 改訂第三版』岩波書店、1983年、p. 316:gradF;297:関数行列式.
竹之内脩『経済・経営系数学概説』新世社、1998年、pp.110-113:2変数関数のヘッシアンと極値。
住友洸(たけし)『大学一年生の微積分学』現代数学社、1987年,pp.83-84:Laplacian;92:Jacobian;
日本数学会編集『岩波数学辞典(第三版)』 岩波書店、1985年。

→[トピック一覧:微分演算子]
総目次