2変数関数の高階全微分
[
トピック一覧:2変数関数の高階全微分]
・2変数関数の2階の全微分
・2変数関数の高階全微分
※全微分関連ページ:2変数関数の全微分
※微分関連ページ: 1変数関数の微分(differential)、2変数関数の偏微分/高次の偏微分/微分演算子
※2変数関数微分の応用:合成関数の微分、平均値定理・テイラーの定理、極値問題
陰関数定理、逆関数定理、ラグランジュ未定乗数法
→
参考文献・総目次
定義:
2変数関数の2階の全微分 the second-order total differential
[高木『解析概論』59;. Chiang, Fundamental Methods of Mathematical Economics: Third Edition,.314.]
※関連事項:二次形式
※応用例:2変数関数の極値問題
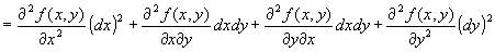
z = f ( x , y ) の1階の全微分
において、
が微分可能ならば、
2階の全微分として、
を得る。
→2階偏微分の記法を確認せよ。 なお、
と書いても同じ。
(説明)
z=f (x,y)が領域Dの各点で全微分可能であるとき、
点( x, y )∈Dにおけるz=f (x,y)の1階の全微分
の値は、点( x, y ) によって変わってくるから、領域D上の点( x, y )の関数。
そこで、

とおく。
2階の全微分とは、1階の全微分であるg ( x, y ) を、もう一度全微分したもの。
だから、全微分の定義をそのままg ( x, y )に適用して、
∵
が微分可能なので、youngの定理より、
→
[トピック一覧:2変数関数の高階全微分]
→総目次
定義:
2変数関数の高階の全微分 [高木『解析概論』59. ]
※必要な知識:高階偏微分、二項定理、組み合せ、全微分
z = f ( x , y ) の3階の全微分:

z = f ( x , y ) のn階の全微分:


つまり、z = f ( x , y ) をn階全微分は、(n+1)項からなる多項式となる。
この (n+1)個の項を、第0項から第n項という風に数えあげて行った場合の第r項は、
二項係数×[ f ( x , y ) をxで(n-r)回偏微分、yでr回偏微分した導関数]×(dx)n-r×(dy)r
となっている。
z = f ( x , y ) のn階の全微分の略記法:
n回全微分の式の各項から導関数を除いた

は、二項定理より、(dx+dy) n に等しい。
そこで、

は、

と略記される。
※類似例:二つの「1変数1次関数」と一つの「2変数関数」の合成関数の高階微分
→
[トピック一覧:2変数関数の高階全微分]
→総目次
定義:
3変数関数の2階の全微分
[高木『解析概論』59.; Chiang, Fundamental Methods of Mathematical Economics: Third Edition333. ]
→
[トピック一覧:2変数関数の高階全微分]
→総目次
(
reference)
高木貞治『
解析概論 改訂第三版』岩波書店、1983年、p. 59.
Chiang, Fundamental Methods of Mathematical Economics: Third Edition, McGraw Hill,1984,pp.308-319;333.
→
[トピック一覧:2変数関数の高階全微分]
→総目次