行列の基本変形「掃き出す」  : トピック一覧:掃き出す 



・定義:行を掃き出す

・定義:列を掃き出す 


【関連ページ】

 ・行列の基本変形

 ・基本行列  

 ・階数



線形代数目次
総目次
 

定義:行を掃き出す sweep out 〜を要(かなめ)として行を掃き出す  

 [永田『理系のための線形代数の基礎』1.7(p.40);斎藤『線形代数入門』2章§4(p.48)]
(舞台設定)
K:(例:有理数をすべてあつめた集合Q、実数をすべて集めた集合R、複素数をすべてあつめた集合C) 
A:K上の(m,n)型行列 
        
apq :Aの( p, q ) 成分。ただし、0でない成分とする。   
(本題)
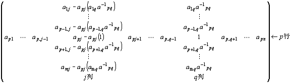
(m,n)型行列Aの( p, q ) 成分を要として、行列Aの第p行を掃き出す」とは、 
以下の手順で列基本変形を組み合わることによって、   
行列Aの第p行について、( p, q ) 成分apqを1とし、第p行のそれ以外のすべての成分を0にすること
をいう。   
 [手順1]   
     
    の第q列を、apq−1倍して、  
     
    すなわち 
     
    とする。  
    この操作は、列基本変形type3 であるから、
    この操作によって得られた行列は、ARn( q, apq−1) という行列積に等しい。 
        
 [手順2] 
   手順1によって得られた行列  
     
   の第j列(ただし、第q列をのぞく)に、第q列の−apj倍を加えて、
      
   すなわち 
     
   とする。    
   この操作は、列基本変形type1であるから、 
   この操作の結果生じた行列は、ARn( q, apq−1) Pn ( q, j,−apj )という行列積に等しい。 
 [手順3] 第q列をのぞく、すべての列を第j列として、手順2を施して、
  
  すなわち 
  
   とする。
   これは   
       
   という行列積に等しい。 


→[トピック一覧:掃き出す]
線形代数目次総目次

定義:列を掃き出す sweep out 〜を要(かなめ)として列を掃き出す  

 [永田『理系のための線形代数の基礎』1.7(p.40);斎藤『線形代数入門』2章§4(p.48);]  
(舞台設定)
K:(例:有理数をすべてあつめた集合Q、実数をすべて集めた集合R、複素数をすべてあつめた集合C) 
A:K上の(m,n)型行列 
        
apq :Aの( p, q ) 成分。ただし、0でないとする。   
(本題)
(m,n)型行列Aの( p, q ) 成分を要として、行列Aの第q列を掃き出す」とは、 
以下の手順で行基本変形を組み合わることによって、   
行列Aの第q列について、( p, q ) 成分apqを1とし、第q列のそれ以外のすべての成分を0にすること
をいう。   
 [手順1]   
     
    の第p行を、apq−1倍して、  
     
    すなわち 
     
    とする。   
    この操作は、行基本変形type3であるから、   
    この操作によって得られた行列は、Rm( p, apq−1)A  という行列積に等しい。 
 [手順2] 
   手順1によって得られた行列  
      
   の第i行(ただし、第p行をのぞく)に、第p行の−a i q倍を加えて、
    
   すなわち 
      
   とする。    
   この操作は、行基本変形type1であるから、 
   この操作の結果生じた行列は、Pm ( i, p,a i q )Rm( p, apq−1)A  という行列積に等しい。 
 [手順3] 第p行をのぞく、すべての第i行として、手順2を施して、

 すなわち 

 とする。
 これは   
       
   という行列積に等しい。 
 


→[トピック一覧:掃き出す]
線形代数目次総目次

(reference)

日本数学会編集『岩波数学辞典(第三版)』 岩波書店、1985年、項目83行列D行列の階数(p.220)
線形代数のテキスト
永田雅宜『理系のための線形代数の基礎』紀伊国屋書店、1986年、1.3ベクトル空間(pp.14-6)。
斎藤正彦『線形代数入門』東京大学出版会、1966年、第2章§4(p.48)。
佐武一郎『線形代数学(第44版)』裳華房、1987年。該当箇所見当たらず。