2004年 中小企業診断士1次試験問題 運営管理(オペレーション・マネジメント)


第1問

ジャストインタイム(JIT)の基本的な考え方に関する次の記述のうち、最も適切なものの組み合わせを下記の解答群から選べ。

  1. 設備の稼働率を最大にするために、中間仕掛品の滞留を増やして対処する。
  2. ねらいの1つとして生産リードタイムの短縮がある。
  3. 後工程が使用した量だけ、前工程から引き取る。
  4. 消費者の需要に合わせて生産量を細かく追従させる。

〔解答群〕

アaとb イaとd ウbとc エbとd オcとd

第2問

レイアウトについての分析図表に関する次の記述のうち、最も適切なものの組み合わせを下記の解答群から選べ。

a P-Q分析図表は、対象とする製品の種類と数量に関する分析図表であり、 縦軸に品種を、横軸に数量をとって表現したグラフである。

b 相互関係図表は、対象物の流れの経路を分析する図表である。

c アクティビティ相互関係ダイヤグラムは、アクティビティ(区域、場所など)の機能や近接性を表現した図である。

d 面積相互関係ダイヤグラムは、アクティビティ(区域、場所など)の面積に関する情報を表現した図である。

〔解答群〕

アaとb イaとc ウaとd エbとc オcとd

第3問

IEに関する次の記述のうち、最も適切なものの組み合わせを下記の解答群から選べ。

a IEの対象とするシステムには「人」が含まれている。

b 仕事を分析する代表的な区分として工程・動作・作業があり、この順に細かく区分される。

c フロープロセスチャートには、原材料から製品への変化を記述した図表と、作業者の仕事の流れを記述した図表がある。

d 分析的なアプローチでは、分析の初期の段階で「目的を達成するにはどうするか」を考え、それを具体化する。

〔解答群〕

アaとb イaとc ウbとc エbとd オcとd

第4問

標準時間に関する次の記述のうち、最も適切なものの組み合わせを下記の解答群から選べ。

a 標準時間を決める要因の中には、作業者の習熟や作業ぺ一スが含まれている。

b 標準時問は主体作業時間と準備段取作業時間から構成され、余裕時間は含まない。

c 標準時間を実測値から決める方法の1つに、時間研究による手法がある。

d 作業内容をもとに、あらかじめ準備してある基本的な時間値のデータから標準時間を求める手法をレイティングという。

〔解答群〕

アaとb イaとc ウbとc エbとd オcとd

第5問

次に示す改善方策のうち、「動作経済の原則」に関するものの組み合わせを下記の解答群から選べ。

  1. 部品箱に入っているものを分かりやすく表示した。
  2. 2枚の紙を片手で2回取っていたが、両手で同時に取るようにした
  3. 径の異なる2つのナットを、2種類のレンチで締めていたが、 2種類の径に対応できる工具を工夫した。
  4. プレス機の動作中に手が挟まれないように、センサを取り付けた

〔解答群〕

アaとb イaとd ウbとc エbとd オcとd

第6問

経済的発注量の代表的な式は以下に示される。この経済的発注量に関する次の記述のうち、 最も適切なものの組み合わせを下記の解答群から選べ。

式 Q = sqrt(2RC/Pi)

ここで、Q:経済的発注量、R:年間推定所要量、C:1回の発注費、P:購入単価、i:年間保管比率とする。

a 年間保管費用はPi / (2Q) である。

b 年間発注費用はRC / Q である。

c この経済的発注量の式は需要の変動がある場合でも適用できる。

d 経済的発注量を満たすとき、年間発注費用と年間保管費用は等しくなる。

[解答群]

ア aとb

イ aとc

ウ bとc

エ bとd

オ cとd

第7問

QC手法に関する次の記述のうち、最も適切なものの組み合わせを下記の解答群から選べ。

a 統計的に裏づけられた条件で得たデータに基づいた管理図では、管理限界線を越えなければアクションをとる必要はない。

b ヒストグラムの級の幅は整数になるようにまとめる。

C 散布図に示されたデータに相関があっても、技術的に関連が見いだせない場合は偽相関という。

d 工程能力指数は、品質特性に関して規定された公差を工程能力(一般に6σ)で除した値である。

〔解答群〕

アaとc イaとd ウbとc エbとd オcとd

第8問

倉庫への製品の流入と倉庫からの製品の流出を描いた流動数曲線に関するa〜dの記述のうち、 最も適切なものの組み合わせを下記の解答群から選べ。 なお、この倉庫では①および②の条件で作業を行っているものとする。

①扱う製品は1種類である。

②先入れ先出しで処理している。

a 流入量および流出量のそれぞれの累積量を線で示した図表である。

b 線の傾きが大きいほど流量は少ない。

c 2本の線の間隔から、倉庫内での滞留時間と滞留量が読み取れる。

d 2本の線は交差する場合もある。

〔解答群〕

アaとb イaとc ウbとc エbとd オcとd

第9問

生産の合理化に関する次の記述のうち、最も適切なものの組み合わせを下記の解答群から選べ。

a ECRSの原則は改善の原則の1つであり、Eは「なくせないか」という問いかけである。

b 「あんどん」は設備の管理を目的とした、目で見る管理活動の一つである。

c 標準化、単純化、平準化は合理化の3Sと呼ばれ、これは企業活動を効率的に行うための考え方である。

d 統合化は、分業化した各作業の生産速度や稼働時間などを一致させることである。

〔解答群〕

アaとb イaとc ウbとc エbとd オcとd

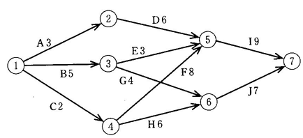
第10問

次のアローダイヤグラムに示されたプロジェクトのクリティカルパスを、 下記の解答群から選べ。ただし、英文字は作業名をあらわし、その横の数字は作業日数を示す。

[解答群]

ア A,D,I イ B,E,I ウ B,G,J エ C,F,I オ C,H,J

第11問

価値分析(VA)における機能に関する次の記述のうち、最も適切なものの組み合わせを下記の解答群から選べ。

a ボールペンに人気キャラクターの漫画を描くことは、二次機能の向上を図ることである。

b 機能は名詞と動詞で表現することが一般的である。

C コストを下げ、機能を上げると価値が向上する。

d 使用機能は基本機能の1つである。

〔解答群〕

アaとb イaとc ウbとc エbとd オcとd

第12問

塑性加工に関する次の記述のうち、最も適切なものはどれか。

ア 金型に溶湯を大圧力により高速で押し込むダイカストは、塑性加工法の一つである。

イ せん断、打ち抜き、穴あけ等は、塑性加工法の一つである。

ウ 塑性加工は、金属素材に力を加えて弾性変形させ、原形とは異なった形をつくる加工法である。

エ 冷間での金属板の成形は塑性加工に含まれないが、熱間での圧延、鍛造は塑性加工法の一つである。

第13問

環境基本法に基づいて定められた環境基準に関して、最も適切なものの組み合わせを下記の解答群から選べ。

a 大気汚染物質は、二酸化いおう、一酸化炭素・浮遊粒子状物質などである。

b 水質汚濁の基準は、公共用水域に対して人の健康の保護と生活環境の保全の面から決められている。

c 土壌汚染物質は、カドミウム、鉛・六価クロム・亜鉛などである。

d ダイオキシン類の大気汚染基準は、工業専用地域および車道にも適用される。

〔解答群〕

アaとb イaとc ウbとc エbとd オcとd

第14問

環境保全関係6法規に関する次の記述のうち、最も適切なものの組み合わせを下記の解答群から選べ。

a 循環型社会形成推進基本法は、廃棄物処理法・資源有効利用促進法および4つのリサイクル法により構成されている。

b 循環型社会形成推進基本法に取り入れられた拡大生産者責任の考え方は、製造者等が、その製品が使用され、 廃棄された後においても、当該製品の適正なリサイクルや処分について一定の責任を持つことである。

c 容器包装リサイクル法では、資源の再生・再商品化を促している。

d 建築物解体工事発注者は都道府県知事への届出が必要であり・解体工事業者は市町村長への届出が必要である。

〔解答群〕

アaとb イaとd ウbとc エbとd オcとd

第15問

廃棄物等の再生処理技術に関する次の記述のうち、最も適切なものの組み合わせを下記の解答群から選べ。

a 古紙の一般的な再生工程は、除塵、離解、脱インキ、漂白の順で行われる。

b ガラス瓶のリサイクルでは、青、緑、黒等の色付瓶を粉砕した混色カレットも利用する。

C スチール缶のリサイクルでは、回収した缶を磁気選別機で選別後、特定のサイズにプレスして主として高炉用に使用する。

d 廃プラスチックの熱利用のリサイクルでは、固形燃料化した廃プラスチックが発電などに使用されている。

〔解答群〕

アaとb イaとd ウbとc エbとd オcとd

第16問

CAD(Computer Aided Design)およびCAM(Computer Aided Manufacturing)に関する次の記述のうち、 最も適切なものの組み合わせを下記の解答群から選べ。

a CADの設計対象には、機械系、建築系、回路系があり、これらは形状処理を行うことが基本である。

b 3次元形状モデリングには、ワイヤーフレーム方式がある。 この方式では面に関する情報がなく体積の算出はできない。体積の算出を可能にしたのがソリッドモデル方式である。

c CADにおけるCAE(Computer Aided Engineering)では、CADで設計した部品、製品の強度解析および評価を行い、 試作回数を減らすことができる。

d CAMにおける加工機に関する工程設計、治工具およびNCの情報に関する作業設計は、標準化が進み、 汎用システムとして一般化されている。

〔解答群〕

アaとb イaとc ウbとc エbとd オcとd

第17問

建築基準法の「建ぺい率」に関する記述として、最も適切なものはどれか。

ア 延焼のおそれのある部分にかかる軒やひさしは、すべて建ぺい率の計算に含める。

イ 建ぺい率からは、延べ床面積の5分の1以内の自動車または自転車の車庫を除外して計算できる。

ウ 建ぺい率とは、建築物の延べ床面積の敷地面積に対する割合をいう。

エ 商業地域内の建ぺい率は、特例を除き、10分の8以下である。

オ 同一敷地内に2つ以上の建築物がある場合の建ぺい率は・それぞれ個別に計算する。

第18問

大規模小売店舗立地法に関する次の文中の空欄に最も適切なものの組み合わせを下記の解答群から選べ。

大繊小売店舗立地法は、店舗面積(A)超の大型店を対象とし・出店に際しての周辺生活環境への影響を審査し (B)の意見を反映しつつ・公正かつ透明な手続きによって、問題解決を図ろうとすることを目的とした法律である。

〔解答群〕

アA:1,000㎡  B:地域住民㎡

イA:1,000㎡  B:都道府県

ウA:1,500㎡  B:地域住民

エA:1,500㎡  B:都道府県

第19問

店舗における消費者への訴求要素のうち、最も不適切なものはどれか。

ア POP(Point of Purchase)とは、多くの場合、購買時点で情報を表示することを意味している。

イ VMD(Visual Marchandising)とは、視覚的に訴えた商品構成や陳列などにより、販売の促進を図ることである。

ウ 一般にファサードと呼ばれるのは、建物正面の外観のことである。

エ 小売店舗のゴールデンゾーンとは、売り場の什器で最も購買されやすい高さの範囲を指し、 一般に床からの高さが500mm〜1,200mmの範囲をいう。

オ 店舗正面上部の立ち上がり部分を一般にパラペットと呼び、店名などの看板が設置されることが多い。

第20問

共同店舗化に関して、最も不適切なものはどれか。

ア 共同店舗化では、参加企業の発展が目指され、後継者の確保も期待されている。

イ 共同店舗化のための公的資金による援助制度もある。

ウ 共同店舗全体でワンストップショッピング対応が可能な反面、ほとんどの場合に専門性の高い店舗が埋もれやすい。

エ 商店街の核となる店舗がない場合、魅力ある共同店舗を作り集客を図る。

第21問

店舗の開業に関して、最も不適切なものはどれか。

ア 飲食店を開業するときには、食品衛生法に基づく施設の基準に達することはもとより、 都道府県知事の営業許可が必要である。

イ 魚、肉、惣菜を扱うスーパーマーケットを開業するとき、食品衛生法による営業許可がそれぞれ必要である。

ウ 青果物販売店を開業するときには、食品衛生法に基づく青果物販売営業許可が必要である。

エ 薬局を開業するときには、薬事法に基づき調剤室の設置が義務づけられている。

第22問

店舗の色彩と照明に関して、最も不適切なものはどれか。

ア 色を表現するときは、色相・彩度・明度で表し、黒・白・灰は無彩色である。

イ 看板等の配色を考えるとき、色相環において対面にある色同士が補色関係になることは、 お互いに相反するので、極力避けた方がよい。

ウ 店舗の照明を考えるとき、照度とケルビン数値(色温度)はともに重要である。

エ 白色蛍光灯の方が、白熱灯よりもケルビン数値(色温度)は高い。

第23問

店舗施設のレイアウトに関して、最も不適切なものはどれか。

ア 店舗施設の基本構成は「利用客圏」「商品圏」「従業員圏」の3要素の組み合わせから成り立っている。

イ 店舗の訴求機能は・店内の見通し・商品配置、通路幅などを指し、いずれも重要な機能である。

ウ 店舗の動線計画における客動線とは「訴求−誘導−販売」という一連の店舗機能に伴った客の行動線である。

エ 販売機能を発揮する売り場のレイアウトは、 「取り扱い品(商品構成)」「販売方法」「動線計画」の3つを考えながら作る。

第24問

ある小売業が・商品原価1000円/ケースの商品を第1週の日曜日に10ケース仕入れ、 第2週の月曜日から土曜日まで売価1,300円で8ケース販売し、日曜日に20%引きで2ケース販売した. ここでは、月曜日を週の初めとし、日曜日を週の終わりとしている。

この商品の商品管理指標について・下記の設問に答えよ(小数点第1位を四捨五入すること)。

(設問1)

この商品の第2週の平均在庫高(原価べ一ス)を求めよ。

ア1,000円

イ5,000円

ウ8,000円

エ10,000円

オ12,000円

(設問2)

この商品の第2週のGMROI(商品投下資本粗利益率)を求めよ。

ア15% イ25% ウ35% エ50% オ55%

第25問

小売業が店頭の品切れを少なくするための方策として、最も不適切なものはどれか。

ア SKUあたりの在庫量を増加させる。

イ 品揃えSKU数を絞り込む。

ウ 納品のサービス率を上昇させる。

エ 発注や配送のための作業時間を長くする。

第26問

近年チェーンストアが、自社専用の物流センターを利用して、店舗への商品供給を行う事例が増加している。 こういったチェーンストアの物流センターに関する記述として、最も不適切なものはどれか。

ア チェーンストアの専用物流センターであっても、卸売業が実際の運営を行っている事例が多い。

イ 物流センターの運営費用は、一般に、在庫を保管しない通過型の物流センターが、 在庫を保管する在庫型のセンターよりも低い。

ウ 物流センターを設置する場合は、全ての商品を一括して物流センターから配送するのが効率的である。

エ 物流センターを利用すると、小売業は店舗への納品車両数を削減することができる。

第27問

次世代の認識システムとして注目されているRFID(Radio Frequency Identification)を利用したICタグに関する記述で、 最も不適切なものはどれか。

ア ICタグは、ICカードと同じ技術を利用しており、その形状も用途に合わせて多種類がある。

イ ICタグは、従来のバーコードより情報量が多いが、書き込みができない。

ウ ICタグは、生産から小売までの食品トレーサビリティヘの応用も検討されている。

エ ICタグは、電波を使い非接触でデータを認識する技術を利用している。

第28問

共通商品コードとして日本で使用されているJANコードに関する記述で、最も不適切なものはどれか。

ア JANコードには、桁数が異なる2種類があり、商品アイテムコードや商品情報から構成される。

イ JANコードは、バーコードリーダーで読み取られ、機械の読み誤り防止のためにチェックデジットが1桁設定される。

ウ JANコードは、POSシステムを通じて、小売業の単品管理などに役立てられている。

エ JANコードは、国際的にEANコードと呼ばれ、世界共通の規格である。

オ JANコードを製造段階で商品の容器などに印刷することをソースマーキングと呼ばれる。

第29問

流通に携わっている人々の間で.近年SCMが注目されている。このSCMに関する記述で最も不適切なものはどれか。

ア ECRやQRは、SCMの事例の1つと考えられる。

イ SCMでは、不良在庫のリスクや売れ筋商品の機会損失のリスクに対応できる。

ウ SCMでは、メーカーを起点として販売データや発注データを取引企業間で共用する。

エ SCMには、迅速、正確に商取引データを交換する情報技術が必要となる。

オ SCMは、小売業、卸売業、メーカーなどの取引企業が協力しあうことで業務効率化を実現する。

第30問

小売業におけるE0Sに関する記述で最も不適切なものはどれか。

ア EOS活用の利点は、発注作業の合理化、リードタイム短縮などがあげられる。

イ EOSのデータインプットには、棚札スキャン方式、オーダブックスキャン方式、 EOB(Electric Ordering Book)方式などがある。

ウ EOSは、発注データをネットワーク経由で取引先へ伝える一連のシステムである。

エ POSデータと店頭在庫量から、納入者が自動補充するシステムはCPFRと呼ばれる。

第31問

小売業における顧客情報活用に関する記述で、最も不適切なものはどれか。

ア FSPの代表的な分析として、RFM分析がある。

イ FSPは会員の購買履歴をデータベース化し、購買データの分析に基づいて顧客1人1人に異なるサービス提供を目指す。

ウ FSPは短期的な売上の増加を目指すより、長期的な視点での顧客のロイヤルティを高める販促手段である。

エ FSPは特典付き会員カードを発行して、顧客の固定化を狙うものである。

オ データ分析には、データウェアハウスとその解析ツールであるデータマイグレーションが利用される。

まりんきょ学問所 >> 中小企業診断士(休止中)勉強の部屋>> 試験問題>> 2004年度中小企業診断士一次試験問題 運営管理(オペレーション・マネジメント)